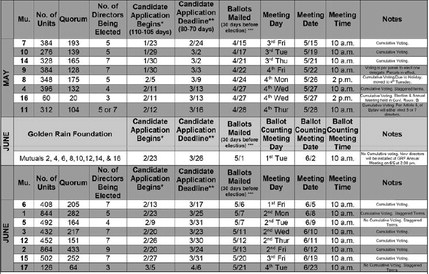
Mutual candidates application is ongoing until April 6
GRF)AND)MUTUAL)ELECTIONS)
The community unity in Leisure World Seal Beach is a direct result of volunteer work by the members of Mutual and GRF boards, duly elected to serve the residents.
The Mutual boards and the elected GRF Board of Directors manage the daily operations of each mutual corporation. Mutual directors address the issuesofmostimportancetotheir electorate—the shareholders. GRF Board directors find solutions to existing problems, large and small. This is not an easy job. It takes time, effort, and willingness for people to unselfishly donate their personal time to the community in which they live.
Leisure World Seal Beach is full of highly qualified shareholders who can offer an extensive expertise in many areas, such as construction, plumbing, accounting and more. New ideas and perspectives are always needed and that means volunteers are needed.
People are welcome to apply for a director’s position on their Mutual board of directors. Note the deadlines to apply for candidacy. Those who are interested or have questions on becoming a candidate for their Mutual board of directors, can call 562-431-6586, ext. 2329.
For more information on GRF elections, call 562-4316586, ext. 2393.
NOTE: *=If the date to apply as a candidate falls on a Saturday or Sunday, applications may be picked up the previous Friday.
**=On deadlines that fall on a Saturday or Sunday, applications will be accepted the following Monday. Candidate applications must be received in Stock Transfer Office by no later than 4 p.m. on the deadline day.
***=If the date to mail ballots (30 days before the election) falls on a Friday, Saturday or Sunday, the ballots will be mailed the previous Thursday.
****=The quorum for Bylaws is pursuant to Sections 211 and 152 of the Corporations Code, the proposed Amended and Restated Bylaws must be approved by quorum as stated above. If approved by the shareholders, the Amended and Restated Bylaws will become effective immediately.
2026 GRF and Mutual election and annual meeting schedule




